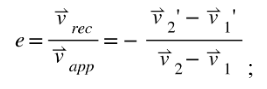
Koefisien restitusi e, adalah ukuran elastisitas tumbukan. Hal ini didefinisikan sebagai rasio kecepatan resesi terhadap kecepatan pendekatan;

Dimana
e = Koefisien restitusi (0 < e <1 )
vrec = Kecepatan resesi benda (m/s)
vapp = Kecepatan pendekatan benda (m/s)
Nilai koefisien restitusi berkisar dari nol hingga satu. Semakin mendekati nilai 1, artinya tumbukan yang terjadi bersifat mendekati tumbukan lenting sempurna, sedangkan semakin mendekati nilai 0, artinya tumbukan yang terjadi bersifat mendekati tumbukan tidak lenting sama sekali.
Dari persamaan (1), dilakukan pendekatan penurunan rumus untuk mendapatkan persamaan lain. Penurunannya adalah sebagai berikut.

Dengan melakukan pendekatan gerak jatuh bebas, berlaku persamaan seperti sebagai di bawah ini untuk menghitung koefisien restitusi benda.

Dimana:
h2 = Ketinggian bola sebelum dijatuhkan (m)
h1 = Ketinggian bola setelah tumbukan pertama (m)
Perlu diketahui bahwa perhitungan koefisien restitusi juga dapat dilakukan menggunakan h2 dan h3, h3 dan h4, h4 dan seterusnya.
Dari persamaan ini, kita dapat menggunakan sensor Handphone untuk menentukan nilai koefisien restitusi. Adapun set alat praktikum seperti pada gambar 1.

Not a member yet? Register now
Are you a member? Login now